Фірмі з історією підозрілих тендерів дали ще 7 мільйонів на будівництво підземної школи в Павлівській громаді
Торік «Компанія Позитив» отримала 60,5 мільйона гривень на будівництво укриття в Семененківському ліцеї. Тепер – ще 7. Замовник робіт, ДП «Місцеві дороги Запорізької області», підписав додаткову угоду з фірмою, відомою мільйонними контрактами та фігуруванням в антимонопольних справах
Спорудження підземної школи у Семененково наближається до завершення. Зведення її виконує одна з найактивніших будівельних фірм регіону – «Компанія Позитив». Власник компанії є Максим Гайдай, директор – Тимур Круглов.
За останні два роки фірма отримала державних замовлень по Запорізькій області більш ніж на 900 мільйонів гривень.
Найдорожчими договорами компанії стали протирадіаційні укриття:
- 113 мільйонів – ліцей-інтернат «Захисник»;
- 112 мільйонів – школа-інтернат «Січовий колегіум»;
- 112 мільйонів – школа №87;
- 109 мільйонів – школа №88;
- 108 мільйонів – колегіум «Елінт»;
- 107 мільйонів – школа «Логос»;
- 95 мільйонів – ліцей «Лідер» (с.Біленьке).
Підрядник з репутацією та перевірками
«Компанія Позитив» відома в Запорізькій області завдяки численним мільйонним підрядам і неодноразово згадувалася в журналістських розслідуваннях через великі бюджетні контракти та обставини їхнього отримання.
На початку 2024 року Антимонопольний комітет відкрив справу стосовно фірм «Компанія Позитив» та «Еско Запоріжжя». Компанії перевіряли через можливе порушення конкуренції під час участі у тендері на капітальний ремонт фасаду корпусу Бердянського державного педагогічного університету, який відбувся ще у 2019 році.
У торгах тоді взяли участь ці дві фірми «Позитив» та «Еско Запоріжжя». Перемогу здобув «Позитив». Згодом, у квітні 2025 року, Антимонопольний комітет визнав, що ці компанії діяли узгоджено, чим спотворили результати закупівлі. На кожну з фірм наклали штраф у розмірі 68 тисяч гривень.
Тим часом закупівлею зі зведення протирадіаційного укриття в Семененківському ліцеї також зацікавилася Держаудитслужба. У листопаді 2024 року аудитори провели моніторинг закупівлі, але порушень не виявили.
Перший договір на 60 мільйонів
Перший договір на спорудження протирадіаційного укриття в Семененківському ліцеї уклали восени минулого року. Тоді ДП «Місцеві дороги Запорізької області» оголосили закупівлю за 60,5 мільйона гривень, на яку прийшла одна фірма «Компанія Позитив», що і стала переможцем.
Навчання в підземній школі розпочалося 1 вересня 2025 року. Роботи на об’єкті наближаються до завершення. Згідно з календарним планом тривають покрівельні роботи, благоустрій території та монтаж дизельних генераторів. До кінця поточного року будівництво об’єкта має бути завершено. Укриття розраховано на 200 людей. За день може навчатися 400 учнів у дві зміни.
Додаткова угода на 7 мільйонів
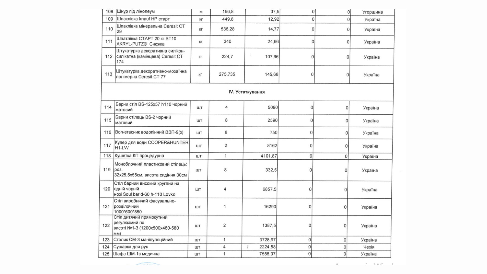
Свіжо опублікований договір з’явився на Prozorro 7 листопада. Згідно з кошторисом, на додаткові 7 мільйонів гривень закуплять оздоблювальні матеріали (фарби, шпаклівки, гіпсокартон, декоративні штукатурки, ґрунтовки, тощо), будівельні й монтажні матеріали (анкери, цегла, водостічні труби, кріплення, акустичні панелі).
Незначна кількість від суми піде на меблі та технічне оснащення, такі як барні столи й стільці, кушетки, дитячі столи, маніпуляційні столи, кулер для води, сушарка для рук та вогнегасники.
Це не вперше, коли ДП «Місцеві дороги Запорізької області» дозамовляють ще додаткові роботи по багатомільйонним будівництвам підземних шкіл. Місяцями раніше таким чином уклали додаткові угоди на 6,5 мільйона по школі «Логос», на 10,9 мільйона по школі Лідер в селі Біленьке та на 743 тисячі по колегії «Елінт».
Публікація створена в рамках проєкту Інституту висвітлення війни та миру (IWPR) «Посилення громадського контролю» за фінансової підтримки Норвегії. За зміст цієї публікації відповідає виключно SODA. Цей матеріал жодним чином не може вважатися таким, що відображає позицію IWPR та Уряду Норвегії.